Вернуться к содержанию учебника
Выберите год учебника
№2.162 учебника 2023-2024 (стр. 66):
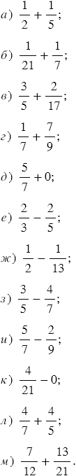
Вычислите:

№2.162 учебника 2021-2022 (стр. 60):
В новом парке
всех деревьев занимают саженцы берёзы, а
- ясеня. Каких саженцев в парке больше: берёзы или ясеня?
№2.162 учебника 2023-2024 (стр. 66):
Вспомните:
№2.162 учебника 2021-2022 (стр. 60):
№2.162 учебника 2023-2024 (стр. 66):

Чтобы сравнить (сложить, вычесть) дроби с разными знаменателями, надо:
1) привести дроби к наименьшему общему знаменателю;
2) сравнить (сложить, вычесть) полученные дроби.
Наименьший общий знаменатель равен наименьшему общему кратному знаменателей данных дробей.
Наименьшим общим кратным (НОК) нескольких натуральных чисел называют наименьшее натуральное число, которое делится на каждое из этих чисел.
№2.162 учебника 2021-2022 (стр. 60):

Чтобы сравнить (сложить, вычесть) дроби с разными знаменателями, надо:
1) привести дроби к наименьшему общему знаменателю;
2) сравнить (сложить, вычесть) полученные дроби.
Наименьший общий знаменатель равен наименьшему общему кратному знаменателей данных дробей.
Наименьшим общим кратным (НОК) нескольких натуральных чисел называют наименьшее натуральное число, которое делится на каждое из этих чисел.
Если большее из двух чисел делится на меньшее число, то наименьшим общим кратным этих чисел будет большее из чисел.
Из двух дробей с одинаковыми знаменателями больше та, у которой числитель больше, и меньше та, у которой числитель меньше.
Вернуться к содержанию учебника