Вернуться к содержанию учебника
Выберите год учебника
№2.452 учебника 2023-2024 (стр. 104):
Являются ли числа и взаимно обратными, если:

№2.452 учебника 2021-2022 (стр. 100):
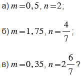
Вычислите значение частного:

№2.452 учебника 2023-2024 (стр. 104):
Вспомните:
№2.452 учебника 2021-2022 (стр. 100):
Вспомните:
№2.452 учебника 2023-2024 (стр. 104):

Пояснения:
Взаимно обратными называют два числа, произведение которых равно единице.
Получается, чтобы проверить взаимно обратные числа или нет, нужно найти их произведение.
При этом помним, обратным числу
является число
.
Чтобы найти произведения, в которых множителями являются смешанные числа и десятичные дроби, преобразуем смешанные числа в неправильные дроби, и если возможно сокращаем их, а десятичные дроби в обыкновенные дроби и также, если возможно сокращаем их. Чтобы преобразовать смешанное число в неправильную дробь, надо целую часть числа умножить на знаменатель дробной части и к полученному произведению прибавить числитель дробной части; эту сумму записать как числитель неправильной дроби, а в ее знаменатель записать знаменатель дробной части смешанного числа. У обыкновенной дроби в знаменателе столько нулей, сколько знаков после запятой у десятичной дроби. Сократить дробь, значит, разделить ее числитель и знаменатель на их наибольший общий делитель.
№2.452 учебника 2021-2022 (стр. 100):


Пояснения:
Чтобы выполнить деление, смешанные числа преобразовываем в неправильные дроби. Чтобы преобразовать смешанное число в неправильную дробь, надо целую часть числа умножить на знаменатель дробной части и к полученному произведению прибавить числитель дробной части; эту сумму записать как числитель неправильной дроби, а в ее знаменатель записать знаменатель дробной части смешанного числа.
Чтобы найти частное двух дробей, надо делимое умножить на число, обратное делителю.
При этом помним:
является число
.
- натуральное число, то обратным ему является число
.Произведением двух дробей является дробь, числитель которой равен произведению числителей, а знаменатель - произведению знаменателей.
При выполнении умножения дробей, чтобы вычисления были проще, не надо перемножать сразу, лучше сделать это после сокращения. Сократить дробь - значит, разделить ее числитель и знаменатель на одно и то же число (наибольший общий делитель).
Если при вычислениях получилась неправильная дробь (числитель больше знаменателя), преобразуем ее в смешанное число. Чтобы неправильную дробь, числитель которой нацело не делится на знаменатель, преобразовать в смешанное число, надо числитель разделить на знаменатель; полученное неполное частное записать как целую часть смешанного числа, а остаток - как числитель его дробной части.
Если ноль разделить на какое-либо число, получится ноль.
При делении числа на единицу получается то же число.
Вернуться к содержанию учебника