Вернуться к содержанию учебника
Страница 77
395 396 397 398 399 400 401 402 403 404 405
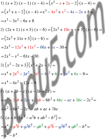
Выполните умножение:
Вспомните: